Background: Axi-cel is an autologous anti-CD19 chimeric antigen receptor (CAR) T-cell therapy approved for the treatment of relapsed/refractory (R/R) LBCL. ZUMA-12 (NCT03761056) is a Phase 2, multicenter, single-arm study of axi-cel as part of first-line treatment in patients with high-risk LBCL. In the primary efficacy analysis (n=37; median follow-up of 15.9 months), axi-cel demonstrated a high rate of investigator-assessed complete response (CR; 78%; 95% CI, 62-90) and an 89% objective response rate (ORR; 95% CI, 75-97). Axi-cel also had a manageable safety profile, with no new safety signals observed in the first-line setting (Neelapu et al. Nat Med. 2022). Here, we report updated efficacy and safety outcomes from ZUMA-12 in all patients treated with axi-cel after a median follow-up of ≥40 months.
Methods: Eligible adults had high-risk LBCL, with MYC and BCL2 and/or BCL6 rearrangements (double- or triple-hit histology) per investigator or an International Prognostic Index (IPI) score ≥3, plus a positive interim PET per Lugano classification (Deauville score 4/5) after 2 cycles of an anti-CD20 monoclonal antibody and anthracycline-containing regimen. Patients underwent leukapheresis, followed by lymphodepleting chemotherapy (cyclophosphamide and fludarabine) on Days -5, -4, and -3, and a single axi-cel infusion of 2×10 6 CAR T cells/kg on Day 0. Per investigator discretion, non-chemotherapy bridging could be administered. The primary endpoint was investigator-assessed CR rate per Lugano classification (Cheson et al. J Clin Oncol. 2014). Secondary endpoints included ORR, duration of response (DOR), event-free survival (EFS), progression-free survival (PFS), overall survival (OS), safety, and levels of CAR T cells in blood and cytokines in serum.
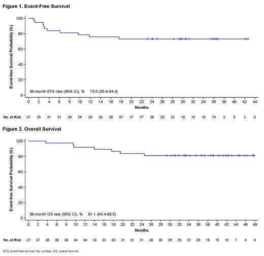
Results: As of May 3, 2023, 42 patients were enrolled and 40 were treated with axi-cel, with a median follow-up of 40.9 months (range, 29.5-50.2). In total, 37 patients were evaluable for response (centrally confirmed double- or triple-hit histology or IPI score ≥3). The CR rate was 86% (95% CI, 71-95), and 92% (95% CI, 78-98) of patients had an objective response. Patients with centrally confirmed double- or triple-hit histology (n=10) had a CR rate of 90%. Responses were ongoing in 73% of response-evaluable patients at data cutoff. Medians for DOR, EFS, PFS, and OS were not reached. The 36-month estimates for DOR, EFS (Figure 1), PFS, and OS (Figure 2) were 82%, 73%, 75%, and 81%, respectively.
All treated patients (n=40) experienced adverse events (AEs) of any grade and 88% of patients had grade ≥3 AEs. Similar to the primary analysis, the most common any-grade AEs were pyrexia (100%), headache (70%), and neutrophil count decreased (55%). No new cases of cytokine release syndrome (CRS) or neurologic events of any grade occurred since the prior data cut and all cases of CRS and neurologic events reported were resolved by data cutoff. Prolonged cytopenias of any grade (present Day ≥30 post-infusion) occurred in 9 patients (n=7 neutrophil count decreased) and were resolved by data cutoff. There were 8 deaths due to progressive disease (n=5) and other causes not related to axi-cel (1 COVID-19, 1 esophageal adenocarcinoma, 1 septic shock on Days 350, 535, and 287 post axi-cel infusion, respectively). Two of the 8 deaths (1 progressive disease and 1 esophageal adenocarcinoma) occurred after the primary analysis.
Among treated patients, post-infusion CAR T-cell expansion by peak and area under the curve was 36.9 cells/µL and 368.0 cells/µL×days, respectively, in those with ongoing responses at data cutoff (n=17), 45.1 cells/µL and 413.4 cells/µL×days in those who relapsed (n=6), and 34.7 cells/µL and 566.8 cells/µL×days in non-responders (n=3).
Conclusion: In this updated analysis of ZUMA-12 with a median follow-up of ≥40 months, axi-cel demonstrated a high rate of durable responses and no new safety signals. Axi-cel may benefit patients exposed to fewer prior therapies and those with high-risk LBCL, a population with high unmet need and poor outcomes after standard first-line chemoimmunotherapy.
Disclosures
Chavez:Novartis: Consultancy; Kite, a Gilead Company: Consultancy; GenMab: Consultancy; Genentech: Consultancy; Bristol Myers Squibb: Consultancy; AstraZeneca: Consultancy, Research Funding; AdiCet: Consultancy; BeiGene: Speakers Bureau; Eli Lilly: Speakers Bureau; Janssen: Research Funding; Merck: Research Funding; ADC Therapeutics: Consultancy, Research Funding. Dickinson:Novartis, F. Hoffmann-La Roche Ltd, Bristol-Myers Squibb, Gilead Sciences, Janssen, Abbvie, Genmab: Consultancy; Novartis, F. Hoffmann-La Roche Ltd, Takeda, Celgene, MSD, Abbvie, Lilly: Research Funding; F. Hoffmann-La Roche Ltd, Amgen, MSD, Janssen, Bristol-Myers Squibb, Novartis, Gilead Sciences, Abbvie: Honoraria; F. Hoffmann-La Roche Ltd: Other: travel, accommodation, expenses. Munoz:Acrotech/Aurobindo: Consultancy, Speakers Bureau; Beigene: Consultancy, Research Funding, Speakers Bureau; Targeted Oncology: Honoraria; Verastem: Consultancy, Speakers Bureau; Pfizer: Consultancy; Kite, a Gilead Company: Consultancy, Research Funding, Speakers Bureau; Pharmacyclics/ Janssen: Consultancy, Research Funding, Speakers Bureau; Celgene: Research Funding; Celgene/ Bristol-Myers Squibb: Consultancy, Speakers Bureau; Kyowa: Honoraria, Speakers Bureau; Alexion: Consultancy; Merck: Research Funding; Portola: Research Funding; Incyte: Research Funding; Genentech/Roche: Consultancy, Research Funding, Speakers Bureau; Millennium: Research Funding; AstraZeneca: Consultancy, Speakers Bureau; MEI: Consultancy; ADC Therapeutics: Consultancy; OncView: Honoraria; Curio: Honoraria; Physicians' Education Resource: Honoraria; Genmab: Consultancy; Morphosys/Incyte: Consultancy; Epizyme: Consultancy; TG Therapeutics: Consultancy; Karyopharm: Consultancy; Seattle Genetics: Consultancy, Honoraria, Research Funding, Speakers Bureau; Lilly/Loxo: Consultancy; Bayer: Consultancy, Research Funding, Speakers Bureau; Pharmacyclics/Abbvie: Consultancy, Research Funding. Ulrickson:Stemline: Consultancy; Gilead Sciences: Consultancy. Thieblemont:Janssen: Honoraria, Other: Travel Expenses; BMS/Celgene: Consultancy, Membership on an entity's Board of Directors or advisory committees, Other: Travel Expenses, Research Funding; Incyte: Honoraria, Membership on an entity's Board of Directors or advisory committees; Bayer: Honoraria; Amgen: Consultancy, Honoraria, Membership on an entity's Board of Directors or advisory committees, Other: Travel Expenses; Gilead Sciences: Consultancy, Honoraria, Membership on an entity's Board of Directors or advisory committees, Other: Travel Expenses; Paris University, Assistance Publique, hopitaux de Paris (APHP): Current Employment; Takeda: Honoraria, Membership on an entity's Board of Directors or advisory committees; Kite: Consultancy, Honoraria, Membership on an entity's Board of Directors or advisory committees, Other: Travel Expenses; Novartis: Consultancy, Honoraria, Membership on an entity's Board of Directors or advisory committees, Other: Travel Expenses; Roche: Consultancy, Membership on an entity's Board of Directors or advisory committees, Other: Travel Expenses, Research Funding; AbbVie: Consultancy, Honoraria, Membership on an entity's Board of Directors or advisory committees, Other: Travel Expenses; Cellectis: Consultancy, Honoraria, Membership on an entity's Board of Directors or advisory committees, Other: Travel Expenses; Kyte, Gilead, Novartis, BMS, Abbvie, F. Hoffmann-La Roche Ltd, Amgen: Honoraria; Hospira: Research Funding. Oluwole:Pfizer: Consultancy, Honoraria, Research Funding; AbbVie: Consultancy; ADC: Consultancy, Speakers Bureau; Cargo: Consultancy; Caribou: Consultancy; Epizyme: Consultancy; Kite, a Gilead Company/ Gilead: Consultancy, Research Funding; Nektar: Consultancy; Novartis: Consultancy; TGR: Consultancy; Allogene: Research Funding; Daiichi Sankyo: Research Funding; Gilead: Consultancy, Honoraria. Herrera:Genentech/Roche: Consultancy, Research Funding; Tubulis GmbH: Consultancy; Genmab: Consultancy; BMS: Consultancy, Other: Travel/Accommodations/Expenses, Research Funding; Merck: Consultancy, Research Funding; Kite, a Gilead Company: Research Funding; AstraZeneca/MedImmune: Consultancy; Karyopharm Therapeutics: Consultancy; Seattle Genetics: Consultancy, Research Funding; ADC Therapeutics: Consultancy, Research Funding; Adicet Bio: Consultancy; Regeneron: Consultancy; Allogene Therapeutics: Consultancy; AbbVie: Consultancy; Takeda: Consultancy; Caribou Biosciences: Consultancy; Pfizer: Consultancy; Gilead Sciences: Research Funding; AstraZeneca: Research Funding. Ujjani:Lilly: Consultancy, Honoraria, Research Funding; Epizyme: Consultancy; Janssen: Consultancy, Honoraria; Pharmacyclics: Consultancy, Honoraria, Research Funding; Abbvie: Consultancy, Honoraria, Research Funding; Beigene: Consultancy, Honoraria; Genentech: Consultancy, Honoraria; Astrazeneca: Consultancy, Honoraria, Research Funding; PCYC: Research Funding; Kite, a Gilead Company: Consultancy, Other: Travel expenses , Research Funding; Atara: Consultancy. Riedell:Intellia Therapeutics: Consultancy, Membership on an entity's Board of Directors or advisory committees; Kite/Gilead: Membership on an entity's Board of Directors or advisory committees, Research Funding, Speakers Bureau; Janssen: Consultancy, Membership on an entity's Board of Directors or advisory committees, Research Funding; Karyopharm Therapeutics: Honoraria, Membership on an entity's Board of Directors or advisory committees; Genmab: Membership on an entity's Board of Directors or advisory committees; Janssen: Consultancy; CRISPR Therapeutics: Research Funding; Roche: Research Funding; Pharmacyclics: Consultancy; Bristol Myers Squibb: Consultancy, Membership on an entity's Board of Directors or advisory committees, Research Funding; CVS Caremark: Consultancy; Nurix Therapeutics: Membership on an entity's Board of Directors or advisory committees; Calibr: Research Funding; Nkarta: Research Funding; Fate Therapeutics: Research Funding; Sana Biotechnology: Consultancy; Takeda: Consultancy, Membership on an entity's Board of Directors or advisory committees; Tessa Therapeutics: Research Funding; MorphoSys: Research Funding; Nektar Therapeutics: Consultancy, Membership on an entity's Board of Directors or advisory committees; Novartis: Consultancy, Membership on an entity's Board of Directors or advisory committees, Research Funding; Genmab: Consultancy; Xencor: Research Funding; Celgene/ Bristol-Myers Squibb: Consultancy, Honoraria, Membership on an entity's Board of Directors or advisory committees, Research Funding; BeiGene: Membership on an entity's Board of Directors or advisory committees; AbbVie: Consultancy, Membership on an entity's Board of Directors or advisory committees; ADC Therapeutics: Consultancy, Membership on an entity's Board of Directors or advisory committees. de Vos:BeiGene: Consultancy. Lui:Kite, a Gilead Company: Current Employment, Current holder of stock options in a privately-held company, Other: Travel support; Gilead Sciences: Current equity holder in publicly-traded company. Wulff:Kite, a Gilead Company: Current Employment. Williams:Kite, a Gilead Company: Current Employment, Current holder of stock options in a privately-held company, Other, Research Funding. Peng:Kite, a Gilead Company: Current Employment; Gilead Sciences: Current holder of stock options in a privately-held company. Kloos:Kite, a Gilead Company: Current Employment. Xu:Kite, a Gilead Company: Current Employment; Gilead Sciences: Current equity holder in publicly-traded company. Neelapu:Chimagen: Consultancy, Other: Advisory board member; Morphosys: Consultancy, Other: Advisory board member; Caribou: Consultancy, Other: Advisory board member; Takeda: Consultancy, Other: Advisory board member; Allogene: Consultancy, Other: Advisory board member, Research Funding; Precision Biosciences: Research Funding; Longbow Immunotherapy: Current holder of stock options in a privately-held company; N/A: Patents & Royalties: Related to cell therapy and the safety switch described (intellectual property); Kite, A Gilead Company: Consultancy, Other: Advisory Board Member, Research Funding; Sana Biotechnology: Consultancy, Other: Advisory board member, Research Funding; Astellas Pharma: Consultancy, Other: Advisory board member; Bristol Myers Squibb: Consultancy, Other: Advisory Board Member, Research Funding; Adicet Bio: Consultancy, Other: Advisory board member, Research Funding; Sellas Life Sciences: Consultancy, Other: Advisory board member; Merck: Consultancy, Other: Advisory Board Member; Bluebird Bio: Consultancy, Other: Advisory board member; Athenex: Consultancy, Other: Advisory board member; Fosun Kite: Consultancy, Other: Advisory board member; Janssen: Consultancy, Other: Advisory board member; Orna Therapeutics: Consultancy, Other: Advisory board member; Immunoadoptive Cell Therapy Private Limited: Consultancy, Other: Scientific Advisory Board; Incyte: Consultancy, Other: Advisory board member; Carsgen: Consultancy; Synthekine: Consultancy, Other: Advisory board member.

This feature is available to Subscribers Only
Sign In or Create an Account Close Modal